• Предмет: Математика
  • Автор: wqeew21
  • Вопрос задан 7 лет назад

Вычислите определенный интеграл используя методом интегрирования!
Помогите пожалуйста

Приложения:

Ответы

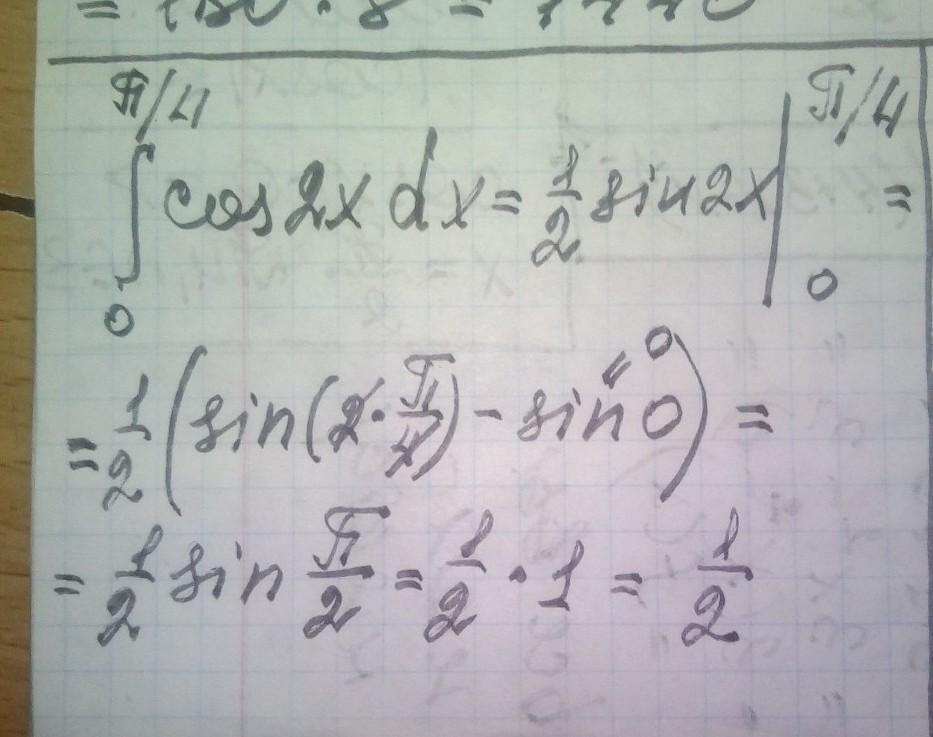
Ответ дал: manyny06
1

Ответ:

решение смотри на фотографии

Приложения:
Ответ дал: VYPR
0

Ответ:

1/2

Пошаговое объяснение:

ДЛЯ НАЧАЛА НАЙДЁМ НЕОПРЕДЕЛЁННЫЙ ИНТЕГРАЛ:

∫cos(2x)dx

СДЕЛАЕМ ЗАМЕНУ. ПОДСТАВИМ ДИФФЕРЕНЦИАЛ, ИСПОЛЬЗУЯ 1/t'*dt, ГДЕ t=2x И t'=2:

∫cos(2x)*1/2dt = ∫cos(2x)/2dt

ПОДСТАВИМ 2х=t:

∫cos(t)/2dt

ИСПОЛЬЗУЕМ СВОЙСТВО ИНТЕГРАЛА:

1/2*∫cos(t)dt

ИНТЕГРАЛ ОТ КОСИНУСА РАВЕН СИНУСУ:

1/2*sin(t)

ЗДЕЛАЕМ ОБРАТНУЮ ЗАМЕНУ t=2x:

1/2*sin(2x) = sin(2x)/2

ПОДСТАВИМ ПРЕДЕЛЫ ИНТЕГРИРОВАНИЯ ОТ 0 ДО pi/4 И ИСПОЛЬЗУЕМ ПРАВИЛО НЬЮТОНА-ЛЕЙБНИЦА:

sin(2*pi/4)/2-sin(2*0)/2

И ПРОСТО ВЫЧИСЛЯЕМ

Вас заинтересует