Ответы
Ответ дал:
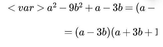
0
Объяснение:
...,.............................
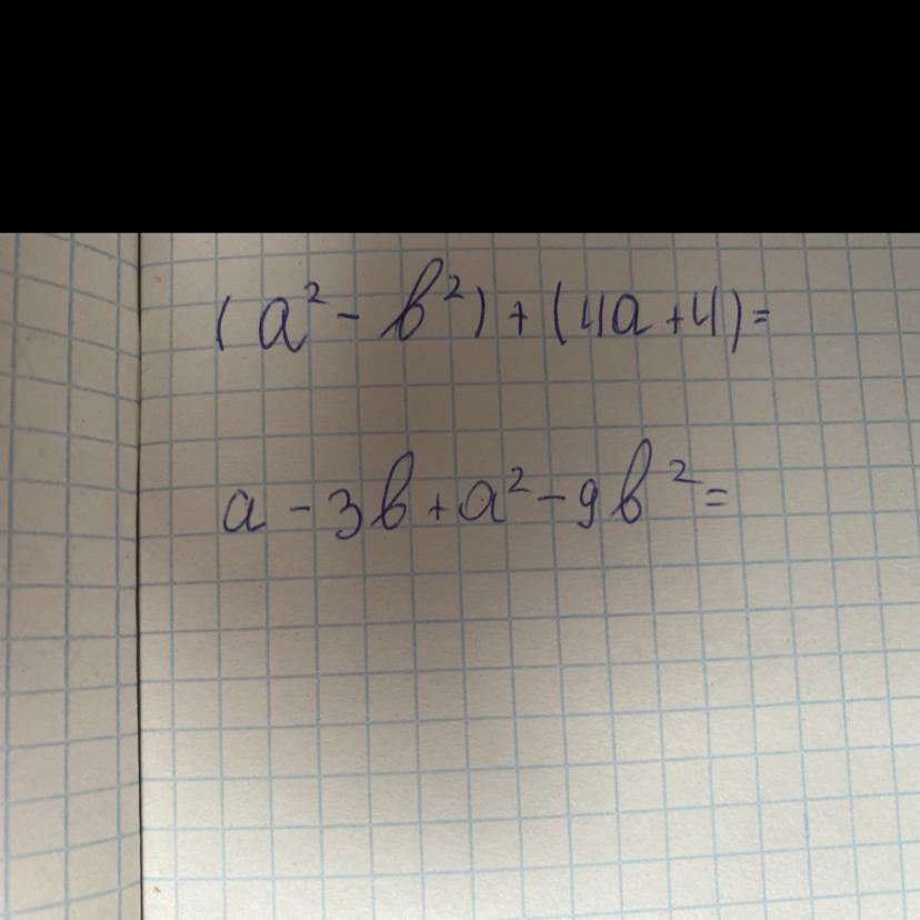
Приложения:


Вас заинтересует
2 года назад
8 лет назад
9 лет назад
9 лет назад