• Предмет: Алгебра
  • Автор: FORMIKS
  • Вопрос задан 7 лет назад

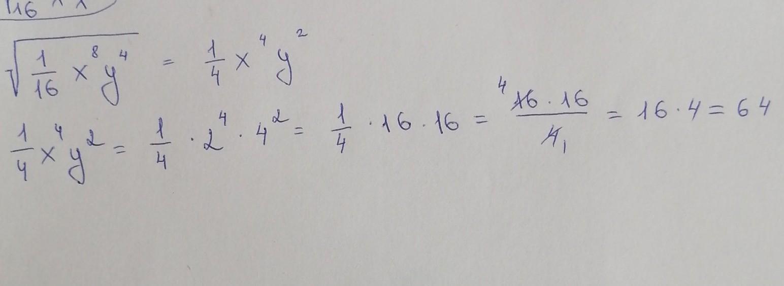
Найдите значение выражения.
Условия на рисунке​

Приложения:

Ответы

Ответ дал: vikasuhareva2001
1

Ответ:

Решение на фото))................

Приложения:
Вас заинтересует