• Предмет: Математика
  • Автор: aleksmishkova
  • Вопрос задан 7 лет назад

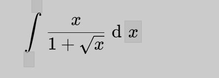
НЕОПРЕДЕЛЕННЫЙ ИНТЕГРАЛ

Приложения:

Ответы

Ответ дал: NNNLLL54
0

Ответ:

Метод замены переменной .

\displaystyle \int \frac{x\, dx}{1+\sqrt{x}}=\Big[\ t=\sqrt{x} \ ,\ x=t^2\ ,\ dx=2t\, dt\ \Big]=\int \frac{t^2\cdot 2t\, dt}{1+t}=2\int \frac{t^3\, dt}{t+1}=\\\\\\=2\int \Big(t^2-t+1-\frac{1}{t+1}\Big)\, dt=2\cdot \Big(\frac{t^3}{3}-\frac{t^2}{2}+t-ln|t+1|\Big)+C=\\\\\\=\frac{2}{3}\, \sqrt{x^3}-x+2\sqrt{x}-2\, ln|\sqrt{x}+1|+C  

Вас заинтересует