• Предмет: Математика
  • Автор: Regardingyour
  • Вопрос задан 7 лет назад

помогите пожалуйста срочно!!!!
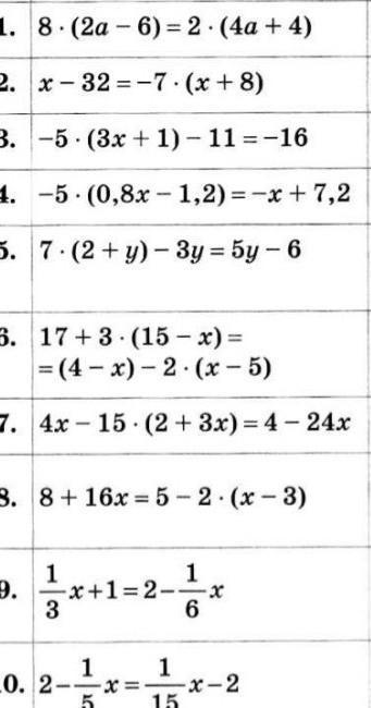
10)2-1/5х=1/15х-2​

Приложения:

Ответы

Ответ дал: akhmedievadilnaz
1

Ответ:

2-1/5х=1/15х-2

30-3х=х-30

-3х-х=-30-30

-4х=-60

х=15


Regardingyour: там нужно решить то что ещё на фото
akhmedievadilnaz: Скачай приложения Photomath
akhmedievadilnaz: Но я сама решаю
Regardingyour: я там ничего не понимаю
akhmedievadilnaz: Можешь еще задат такой вопрос
Regardingyour: придётся
Вас заинтересует