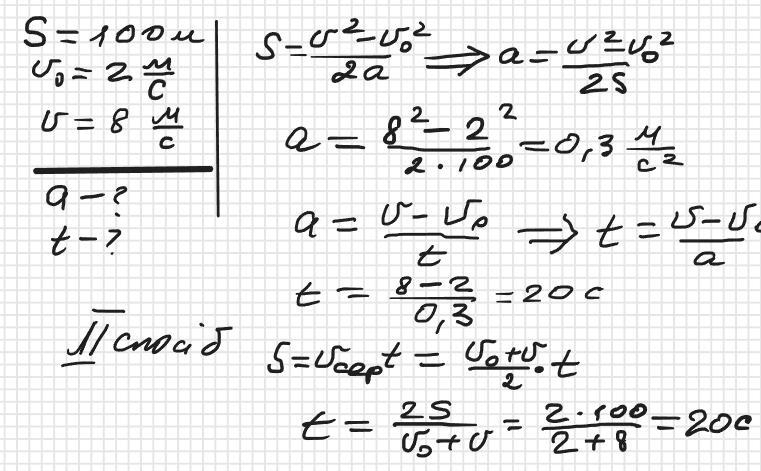
Лижник з'їхав з гори, довжина схилу якої 100 м, збільшивши свою швидкість від 2 м/с до 8 м/с. З яким прискоренням рухався лижник і який час тривав спуск.
Ответы
Ответ дал:
0
Ответ: 0,3 м/с² 20 с
Объяснение:
Приложения:

Вас заинтересует
2 года назад
2 года назад
2 года назад
8 лет назад
9 лет назад