Ответы
Ответ дал:
2
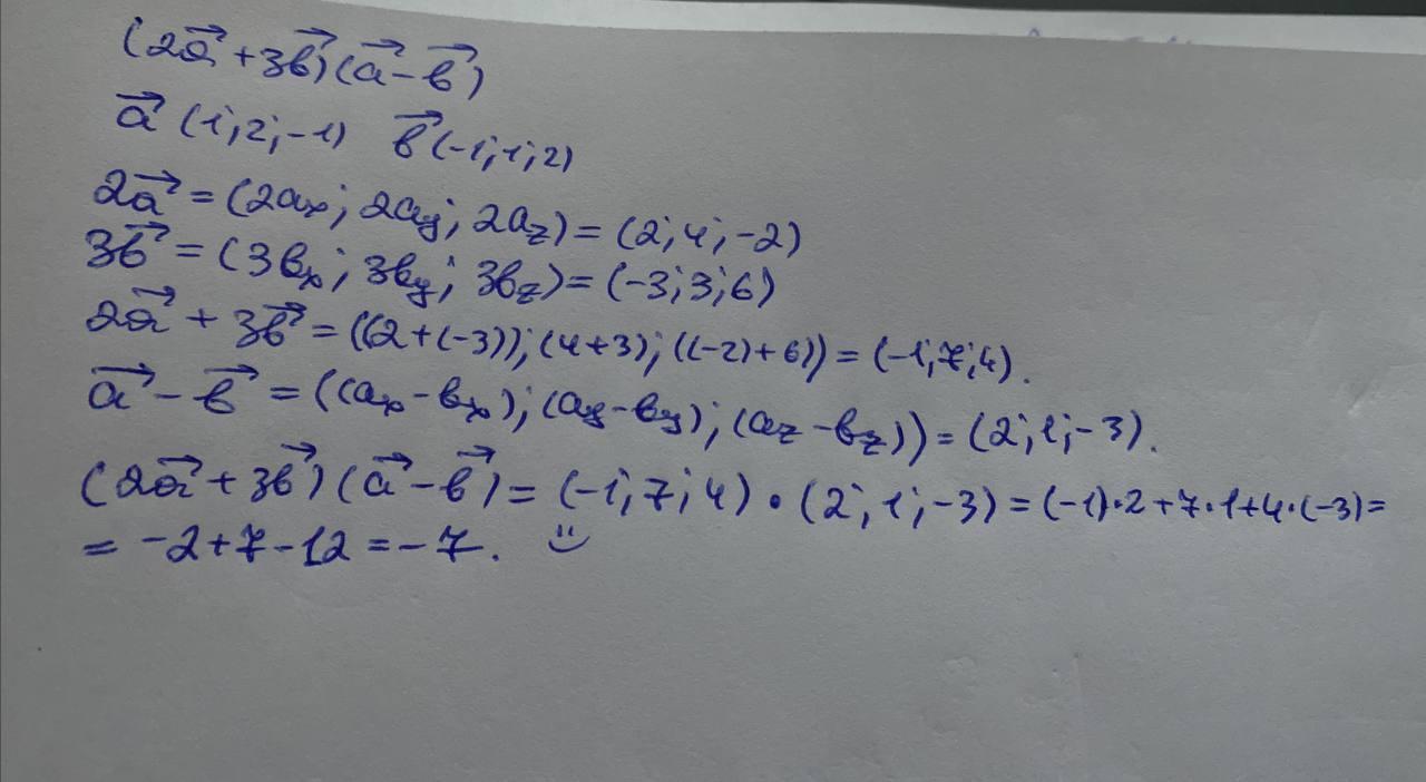
дивіться фото............................
Приложения:

irunchik16:
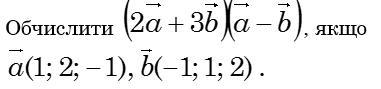
Дякую допоможіть ще з завданням про вектори. У мене на сторінці питання
Вас заинтересует
2 года назад
2 года назад
2 года назад
8 лет назад
8 лет назад