• Предмет: Физика
  • Автор: nukil
  • Вопрос задан 7 лет назад

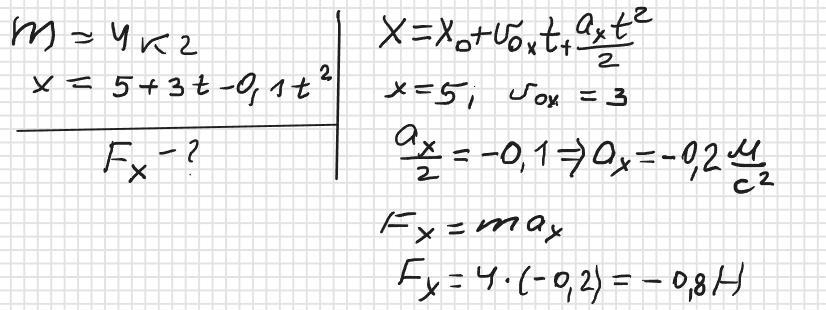
Тіло масою 4 кг рухається вздовж осі Ох так, що його координата змінюється за законом x = 5 + 3t - 0,1t . Визначте проекцію на вісь Ох сили, що діє на тіло.

Ответы

Ответ дал: zybkov1950
3

Ответ: - 0,8 Н

Объяснение:

Приложения:
Вас заинтересует