• Предмет: Математика
  • Автор: maksimqamozhevitin
  • Вопрос задан 7 лет назад

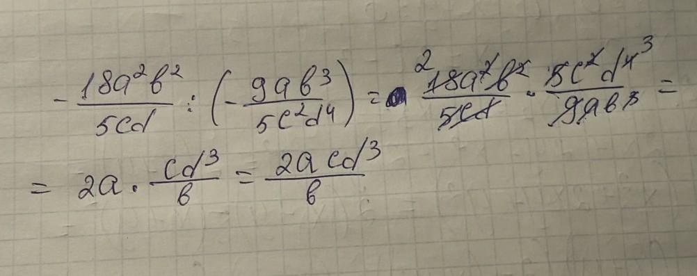
Решите пожалуйста с полным объяснением
Прикрепил файлом

Приложения:

Ответы

Ответ дал: biloust10
0

Ответ:

.......................

Приложения:
Вас заинтересует