Ответы
Ответ дал:
0
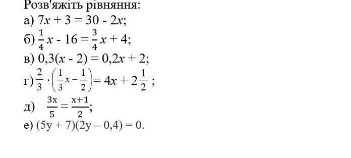
Д. 3х /5=x+1 /2
3x /5-x+1 /2=0
6x/10- 5x+5/10=0
6x-5x-5 /10 =0 (увага, знак змінюється)
Відповідь: -0,1x
3x /5-x+1 /2=0
6x/10- 5x+5/10=0
6x-5x-5 /10 =0 (увага, знак змінюється)
Відповідь: -0,1x
Вас заинтересует
2 года назад
2 года назад
3 года назад
8 лет назад
10 лет назад
10 лет назад