• Предмет: Физика
  • Автор: amanimka318
  • Вопрос задан 7 лет назад

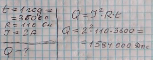
Яка кількість теплоти виділиться протягом години в провіднику опором 110 Ом за сили струму 2 А?

Якщо ви бачили це питання на цьому сайті там відповідь не вірна я знаю відповідь але не маю розв'язання тому дайте відповідь з розв'язанням дуже потрібно ​

Ответы

Ответ дал: zybkov1950
2

Ответ: 1,584 МДж

Объяснение:

Приложения:
Вас заинтересует