Ответы
Ответ дал:
1
Ответ:
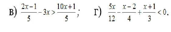
ответ в фото расписан
Объяснение:
Приложения:

MOTGROMEMES:
Спасибо Большое! Если не трудно. посмотри задания в профиле, даю хорошие баллы.
Вас заинтересует
2 года назад
2 года назад
2 года назад
2 года назад
8 лет назад
9 лет назад