• Предмет: Алгебра
  • Автор: anna120533
  • Вопрос задан 7 лет назад

f штрих(1)
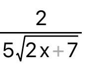
Решить производную

Приложения:

Ответы

Ответ дал: MatemaT123
0

Ответ:

-\dfrac{2}{135}

Объяснение:

f(x)=\dfrac{2}{5\sqrt{2x+7}}=\dfrac{2}{5} \cdot \dfrac{1}{\sqrt{2x+7}}=0,4 \cdot (\sqrt{2x+7)}^{-1}=0,4 \cdot (2x+7)^{-0,5};

Производная сложной функции:

(f(g(x))'=f'(g(x)) \cdot g'(x);

f'(x)=(0,4 \cdot (2x+7)^{-0,5})'=0,4 \cdot ((2x+7)^{-0,5})'=0,4 \cdot (-0,5) \cdot (2x+7)^{-0,5-1} \cdot

\cdot (2x+7)'=-0,2 \cdot (2x+7)^{-1,5} \cdot 2=-0,4 \cdot \dfrac{1}{(2x+7)^{1,5}}=-\dfrac{2}{5} \cdot \dfrac{1}{(2x+7)^{\tfrac{3}{2}}}=

=-\dfrac{2}{5\sqrt{(2x+7)^{3}}};

f'(1)=-\dfrac{2}{5 \cdot \sqrt{(2 \cdot 1+7)^{3}}}=-\dfrac{2}{5 \cdot \sqrt{9^{3}}}=-\dfrac{2}{5 \cdot 9 \cdot \sqrt{9}}=-\dfrac{2}{45 \cdot 3}=-\dfrac{2}{135};

Ответ дал: sangers1959
0

Объяснение:

f(x)=\frac{2}{5*\sqrt{2x+7} } \\f'(x)=(\frac{2}{5*\sqrt{2x+7} })'=\frac{2}{5}*(\frac{1}{\sqrt{2x+7} })'=\frac{2}{5}*((2x+7 )^{-\frac{1}{2}})'=\\ =\frac{2}{5}*(-\frac{1}{2})* (2x+7)^{-\frac{3}{2}}*(2x+7)'= -\frac{1}{5}*\frac{2}{(2x+7)^{\frac{3}{2} }}=-\frac{2}{5\sqrt{(2x+7)^3} }.

f'(1)=-\frac{2}{5*\sqrt{(2*1+7)^3} }=-\frac{2}{5*\sqrt{9^3} } =-\frac{2}{5*3^3}=-\frac{2}{5*27}=-\frac{2}{135}.

ОТВЕТ: f'(1)=-2/135.

Вас заинтересует