• Предмет: Математика
  • Автор: vitjazhelez
  • Вопрос задан 7 лет назад

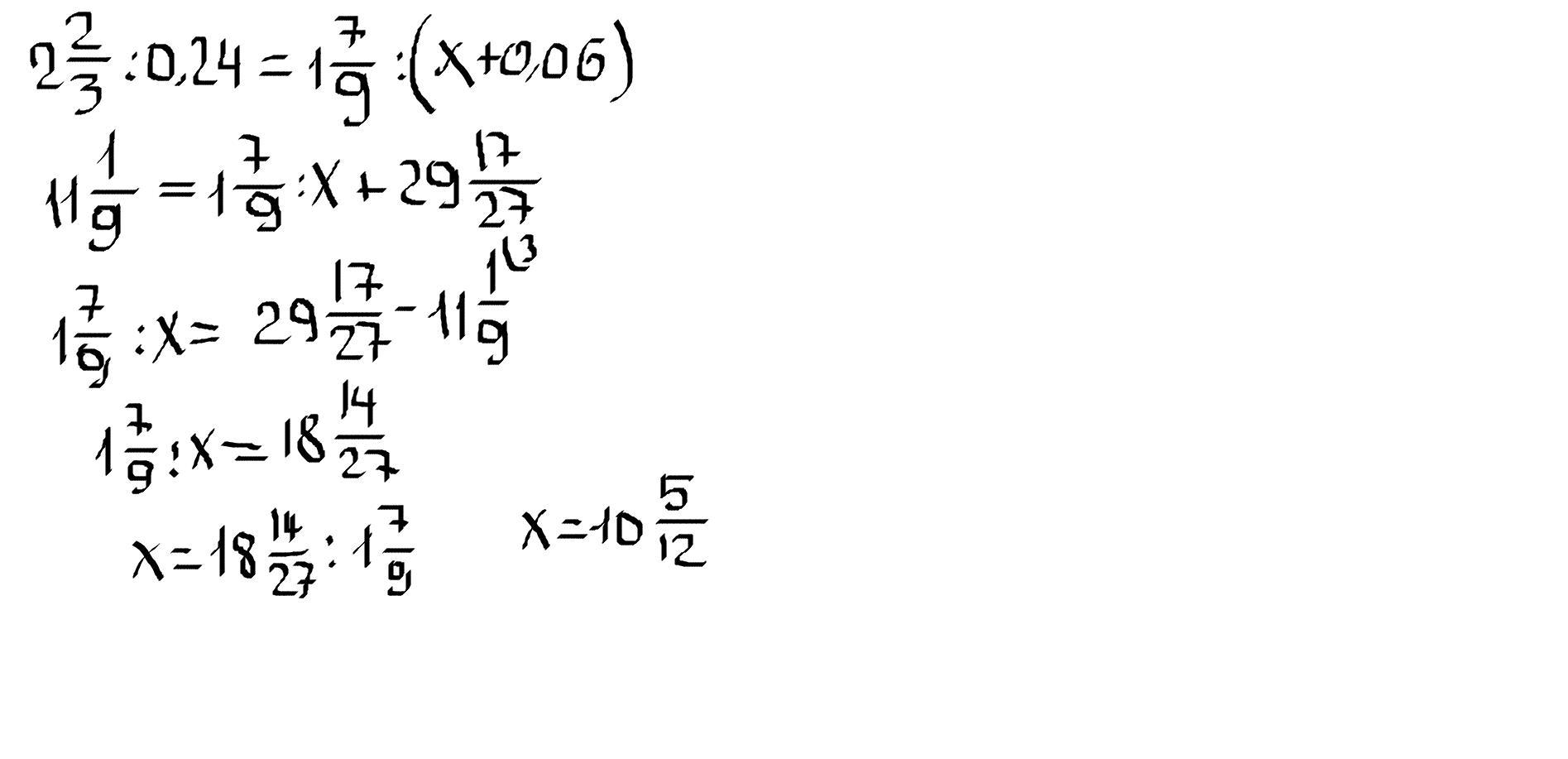
помогите пожалуйста ​

Приложения:

Ответы

Ответ дал: TutorOnline
0

Ответ:

Пошаговое объяснение: на двух фото↓↓↓

Приложения:
Вас заинтересует