• Предмет: Информатика
  • Автор: viktorkosilkin228
  • Вопрос задан 7 лет назад

СРОЧНО РЕБЯТА ПОЖАЛУЙСТА СПАСАЙТЕ
Задание 1 (30 баллов).

Напишите программу на языке Паскаль и постройте блок-схему алгоритма для решения задачи:

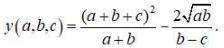
Вычислите значение функции Snimok ekrana 2022-02-10 151352.jpg Значение переменных a, b, c задайте самостоятельно.

На проверку нужно прислать блок-схему алгоритма, текст кода программы, результат работы кода в виде скриншота окна программы с отображением кода и полученного результата. Программная реализация обязательна!

Приложения:

Ответы

Ответ дал: vimmortal2
4

Программа:
Pascal:

var

 a, b, c, y: real;

begin

 write('a = ');  readln(a);

 write('b = ');  readln(b);

 write('c = ');  readln(c);

 

 y := ( power(a + b + c, 2) / (a + b) ) - ( (2 * sqrt(a * b)) / (b - c) );

 writeln('y = ', y);

end.

Блок-схема прикреплена.

Объяснение:

В программе в начале вводятся числа a, b, c (ввод с соответствующим текстом с помощью write). Далее высчитывается значение функции по данным параметрам и в конце вывод значения функции. Числитель и знаменатель дроби и саму дробь принято брать в скобки, чтобы действия выполнялись в такой последовательности, как нужно. В данном коде это предусмотрено. Где нет скобок - значит там действия выполняются уже последовательно и лишние скобки не нужны.

Приложения:
Вас заинтересует