Даю 40 баллов помогите пж
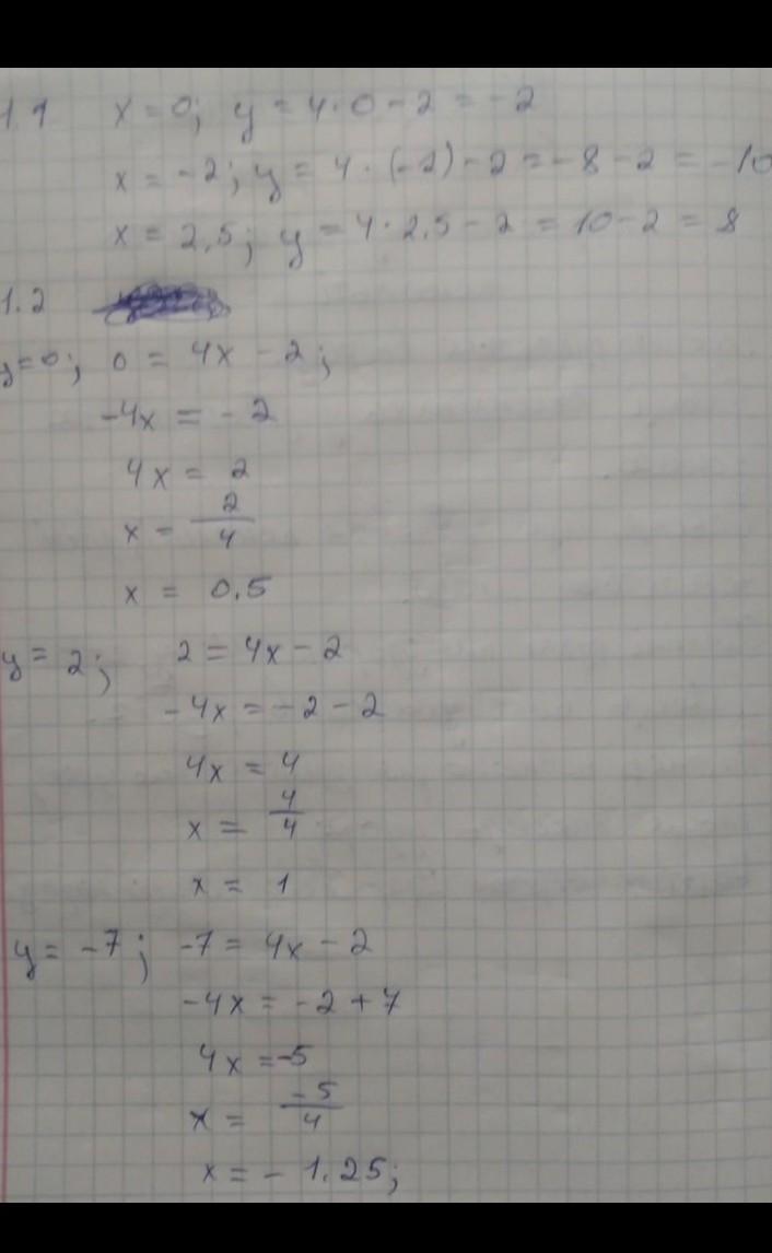
1. Функция задана формулой у = 4х - 2. Найдите:
1) значение функции, если значение аргумента равно: 0; 6;
2) значение аргумента, при котором значение функции равно: 0; 2.
2. Не выполняя построения, найдите координаты точек пересечения с осями координат графика функции у = 1,2х - 24.
3. Постройте в одной системе координат графики функций
f(x) = -x + 2 и g(x) = 2x - 1. Найдите:
1) координаты точки пересечения построенных графиков;
2) значения х, при которых g(x) > f(x).
Ответы
Ответ дал:
0
Вроде понятно, надеюсь
Приложения:



Вас заинтересует
2 года назад
2 года назад
2 года назад
2 года назад
8 лет назад
8 лет назад