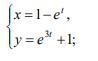
Найти производную. Даю 63 балла. Спасибо огромное тем, кто откликнется, застрял на этом(
Приложения:

Ответы
Ответ дал:
1
Ответ:
Пошаговое объяснение:
Вас заинтересует
2 года назад
2 года назад
2 года назад
8 лет назад
9 лет назад
9 лет назад