• Предмет: Математика
  • Автор: blackbame
  • Вопрос задан 7 лет назад

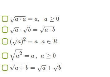
Отметить правильный пример

Приложения:

Ответы

Ответ дал: Miyagi321
0

2 пример

Пошаговое объяснение:


blackbame: тут надо несколько
Ответ дал: ordinrom
0

Ответ:

это второй...........

Вас заинтересует