• Предмет: Математика
  • Автор: midinovdaniel06
  • Вопрос задан 7 лет назад

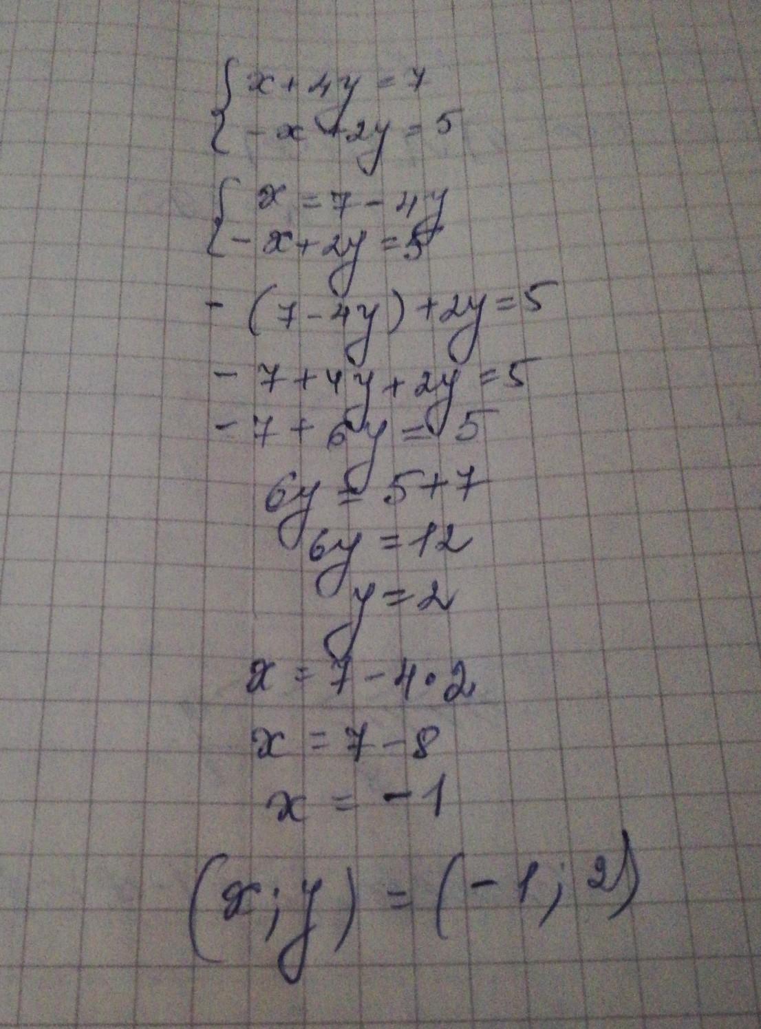
Х+4у=7
-х+2у=5 помогите решить систему уравнений

Ответы

Ответ дал: larisaserova53
1

Ответ:

Смотри решение на фото..

Приложения:
Ответ дал: manyny06
1

Ответ:

решение смотри на фотографии

Приложения:
Вас заинтересует