• Предмет: Алгебра
  • Автор: olegarizonapr
  • Вопрос задан 7 лет назад

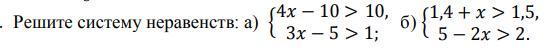
Помогите пожалуйста решить

Приложения:

Ответы

Ответ дал: Universalka
1

\displaystyle\bf\\1)\\\\\left \{ {{4x-10 > 10} \atop {3x-5 > 1}} \right.\\\\\\\left \{ {{4x > 10+10} \atop {3x > 1+5}} \right. \\\\\\\left \{ {{4x > 20} \atop {3x > 6}} \right. \\\\\\\left \{ {{x > 5} \atop {x > 2}} \right.

                    /////////////////////////////////

________(2)________(5)________

                                         ////////////////

\displaystyle\bf\\Otvet: \ x\in\Big(5 \ ; \ +\infty\Big)\\\\\\2)\\\\\left \{ {{1,4+x > 1,5} \atop {5-2x > 2}} \right. \\\\\\\left \{ {{x > 1,5-1,4} \atop {-2x > 2-5}} \right. \\\\\\\left \{ {{x > 0,1} \atop {-2x > -3}} \right. \\\\\\\left \{ {{x > 0,1} \atop {x < 1,5}} \right.

                        /////////////////////////////////////

_________(0,1)________(1,5)________

\\\\\\\\\\\\\\\\\\\\\\\\\\\\\\\\\\\\\\\

\displaystyle\bf\\Otvet: \ x\in\Big(0,1 \ ; \ 1,5\Big)

Вас заинтересует