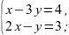
Выразив из первого уравнения переменную «х», решите систему линейных уравнений способом подстановки:
Приложения:

Ответы
Ответ дал:
2
Ответ:
Ответ: (х,у) = (1,-1)
Объяснение:
.....
Приложения:

Вас заинтересует
2 года назад
8 лет назад
9 лет назад