• Предмет: Алгебра
  • Автор: umaru1111chan
  • Вопрос задан 7 лет назад

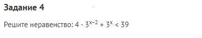
нужна помощь с алгеброй. решите неравенство

Приложения:

Ответы

Ответ дал: Evgenia4836
1

Ответ:

Объяснение:

4*1/9*3^x+3^x<39


4*3^x+9*3^x<351

13*3^x<351

3^x<27

3^x<3^3

x<3

x€(-беск;3)

Вас заинтересует