Ответы
Ответ дал:
0
Ответ:
7/5
4/4
7/
4/6
10/18
Объяснение:
7/5
4/4
7/
4/6
10/18
Ответ дал:
0
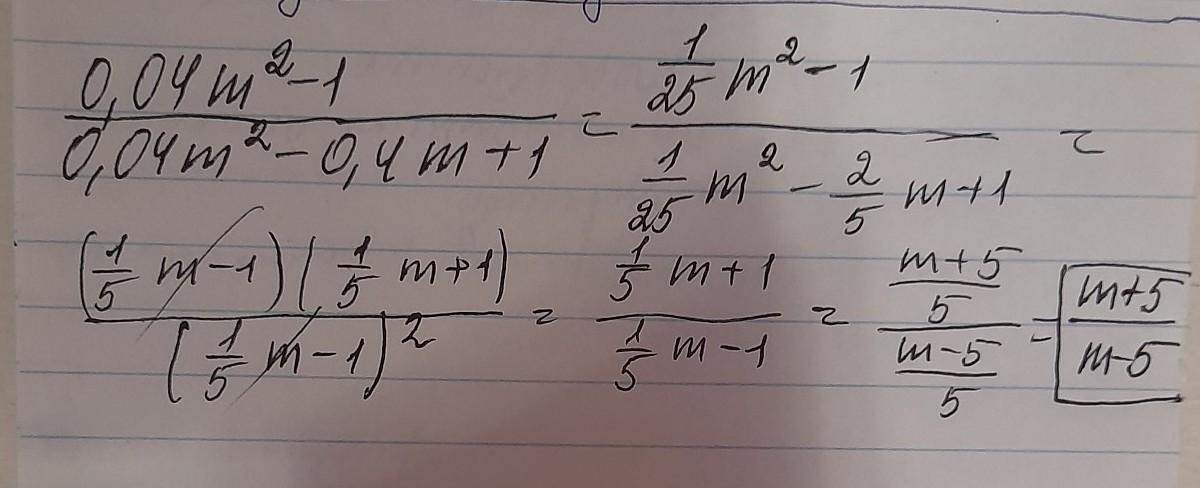
решение во вложении...
Приложения:

Вас заинтересует
2 года назад
2 года назад
8 лет назад
8 лет назад
9 лет назад
9 лет назад