• Предмет: Алгебра
  • Автор: differentnot
  • Вопрос задан 7 лет назад

cos (Пи/4 - B) - cos (Пи/4 + B) при том что sin B = 1​

Ответы

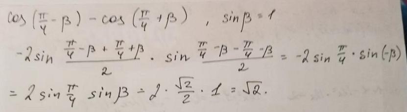
Ответ дал: FrozenTears
1

Решение на фотографии

Приложения:

differentnot: спасибо
Ответ дал: NNNLLL54
0

Ответ:

Можно воспользоваться формулами косинуса суммы и косинуса разности .      sin\beta =1

\displaystyle cos\Big(\frac{\pi}{4}-\beta \Big)-cos\Big(\frac{\pi}{4}+\beta \Big)=\\\\=\Big(cos\frac{\pi}{4}\cdot cos\beta +sin\frac{\pi}{4}\cdot sin\beta \Big)-\Big(cos\frac{\pi}{4}\cdot cos\beta -sin\frac{\pi}{4}\cdot sin\beta \Big)=\\\\\\=2\cdot sin\frac{\pi}{4}\cdot sin\beta =2\cdot \frac{\sqrt2}{2}\cdot sin\beta =\sqrt2\cdot sin\beta =\sqrt2\cdot 1=\sqrt2

Вас заинтересует