• Предмет: Алгебра
  • Автор: LotosssUwU
  • Вопрос задан 7 лет назад

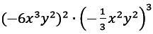
Представьте одночлен в стандартном виде. Укажите его коэффициент и степень.

Приложения:

Ответы

Ответ дал: isaevazg1306
0

Ответ:

4х^12у^10

Объяснение:

получается 36х^6у^4*1/9х^6у^6= 4х^12у^10


yanameowwtf: Это правильно???
isaevazg1306: нет
isaevazg1306: получится -4/3х^12у^10
Вас заинтересует