ПОМОГИТЕ!!!
ПОЖАЛУЙСТА
ЗАВТРА ИКР
нужны ответы
Приложения:

zuriatagabekova:
Первые три написать?
Ответы
Ответ дал:
1
Ответ:
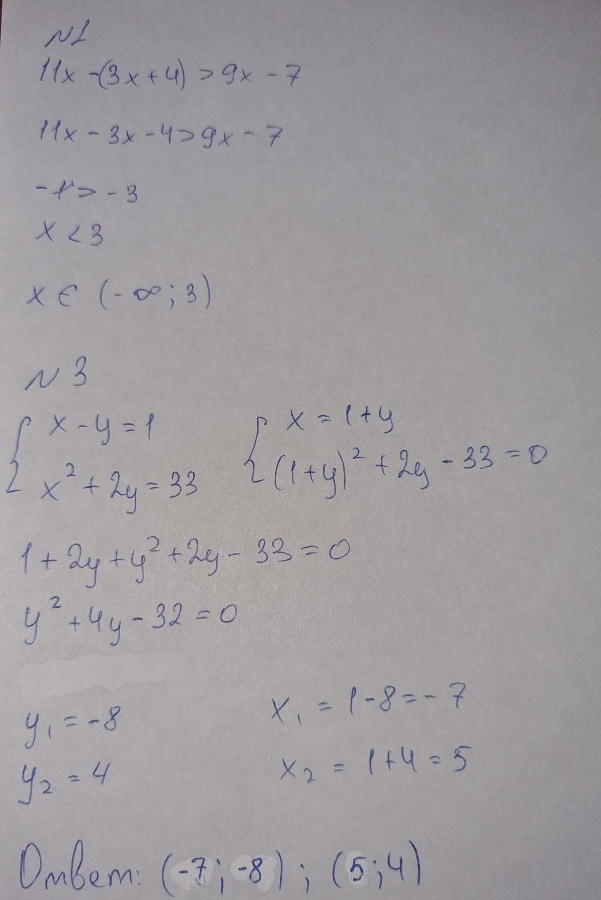
Только первое и третье решила
Приложения:

Вас заинтересует
2 года назад
2 года назад
2 года назад
2 года назад
8 лет назад
8 лет назад