помогите решить пожалуйста
Приложения:

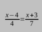
mirandaparkens:
Сначала перенеси всё в левую часть. Затем найди наименьший общий знаменатель(28). У вас получится 7(х-4)/28-4(х-3)/28=0. Раскрой скобки(одночлен на многочлен). Можно умножить на 28 и получиться 3х-31
Ответы
Ответ дал:
1
Пошаговое объяснение:
я зробила все правильно
Приложения:

Ответ дал:
1
Ответ:
Пошаговое объяснение:
Приложения:

Вас заинтересует
2 года назад
2 года назад
2 года назад
2 года назад
8 лет назад
9 лет назад