• Предмет: Математика
  • Автор: nikibrash
  • Вопрос задан 7 лет назад

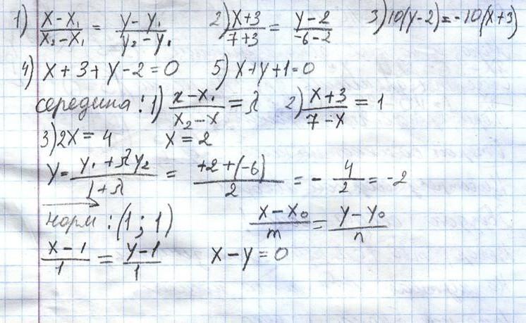
Даны две противоположные вершины ромба A (-1,3), C (6,2)
Составьте уравнения диагоналей ромба.

Как это сделать? Одну диагональ можно найти по формуле прямой через 2 точки, получается х + 7у - 20 = 0. Как найти формулу второй?

Ответы

Ответ дал: nuridasamedova299
0

Ответ:

надеюсь понятно, я старалась

Приложения:

nikibrash: Честно говоря, не понятно. К тому же цифры в условии не соответствуют моей задаче. Если детально опишите словами происходящее на схеме, буду благодарен.
sergeevaolga5: Не удивляйтесь! Это спам. Скоро он будет удален.
Ответ дал: sergeevaolga5
0

Решение в приложении

Ответ: АС: x+7y-20=0

            DB: 7x-y-15=0

Приложения:

nikibrash: Спасибо!
Вас заинтересует