Даю 80 баллов
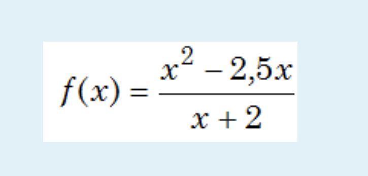
Знайти проміжки зростання і спадання та екстремуми функції
f(x) = (x^2 - 2,5x) / (x + 2)
Приложения:

Ответы
Ответ дал:
1
Ответ:
Локальный максимум -12,5 в точке х=-5
Локальный минимум -0,5 в точке х=1
Приложения:


Вас заинтересует
2 года назад
2 года назад
2 года назад
2 года назад
8 лет назад