• Предмет: Физика
  • Автор: Diffanidiffani
  • Вопрос задан 7 лет назад

Срочно, помогите пожалуйста! Даю 50 баллов!
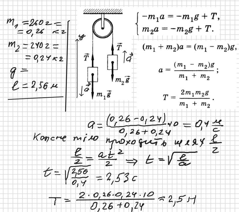
До кінців нитки, перекинутої через нерухомий блок, підвісили на одній
висоті тягарці масою 240 і 260 г. Через який час після початку руху відстань
між тягарцями дорівнюватиме 2,56 м? Якою буде сила натягу нитки?

Ответы

Ответ дал: zybkov1950
2

Відповідь: 2,53 с      2,5 Н

Пояснення:

Приложения:
Вас заинтересует