• Предмет: Математика
  • Автор: morzklubnikai3
  • Вопрос задан 7 лет назад

РЕШИТЕ ПРИМЕР ОЧЕНЬ НАДО

Приложения:

Ответы

Ответ дал: TutorOnline
0

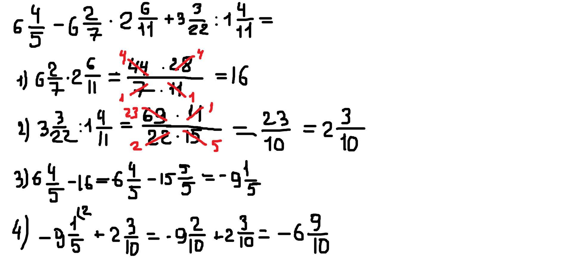
Ответ:

Пошаговое объяснение: на фото

Приложения:

TutorOnline: ну вот, как то так.
Ответ дал: Аноним
0

\displaystyle 6\frac{4}{5}-6\frac{2}{7}*2\frac{6}{11}+3\frac{3}{22}:1\frac{4}{11}=\frac{34}{5}-\frac{44}{7}*\frac{28}{11}+\frac{69}{22}:\frac{15}{11}=\frac{34}{5}-4*4+\frac{69}{22}*\frac{11}{15}=\\\\\frac{34}{5}-16+\frac{23}{2}*\frac{1}{5}=\frac{34}{5}-16+\frac{23}{10}=-\frac{69}{10}=-6\frac{9}{10}=-6,9

Вас заинтересует