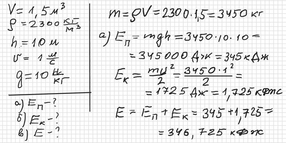
Бетонну плиту, об'ємом 1,5 м3, кран рівномірно піднімає зі швидкістю
1м/с. Густина бетону дорівнює 2300кг/м3
. В ту мить, коли плита перебуває на
висоті 10 м над поверхнею Землі, визначте:
а) потенціальну енергію плити відносно Землі;
б) кінетичну енергію плити;
в) повну механічну енергію плити відносно Землі.
ПОЖАЛЛЛЛУУУУУЙСТААА
Ответы
Ответ дал:
1
Відповідь: 345 кДж 1,725 кДж 346,725 кДж
Пояснення:
Приложения:

Вас заинтересует
2 года назад
2 года назад
2 года назад
8 лет назад
8 лет назад
9 лет назад