• Предмет: Алгебра
  • Автор: 9Delight6
  • Вопрос задан 7 лет назад

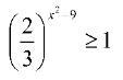
помогите решить уравнение

Приложения:

Ответы

Ответ дал: Svetishche
1

Ответ:

-3\leqх\leq3

Объяснение:

тк 1= 2/3^0 и функция показательная с основанием 2/3 убывающая, то

х^2-9\leq0

(х-3)*(х+3)\leq0, откуда методом интервалов находим решение. Если знак меньше, то промежуток от числа до числа  , те -3\leqх\leq3

Вас заинтересует