• Предмет: Алгебра
  • Автор: BunnyDi
  • Вопрос задан 7 лет назад

СРОЧНО! Помогите сделать задания которые прикреплены внизу!

Приложения:

Ответы

Ответ дал: axatar
2

Ответ:

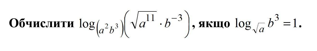
1. \displaystyle \tt log_{(a^2 \cdot b^3)} (\sqrt{a^{11} }\cdot b^{-3} )=2

2. Масса первого сплава 45 г, а масса второго сплава 50 г

Объяснение:

Перевод: 1. Вычислить

\displaystyle \tt log_{(a^2 \cdot b^3)} (\sqrt{a^{11} }\cdot b^{-3} )

если \displaystyle \tt log_{\sqrt{a} } b^{3} =1.

Нужно знать:

a) logₐxⁿ = n·logₐx;

b) logₐ(x·y) = logₐx+logₐy;

\displaystyle \tt c) log_ab = \dfrac{log_cb}{log_ca}.

Решение в приложенном рисунке.

Перевод: 2. В одном сплаве массы золота и серебра относятся как 1:2, а в другом как 2:3. Какова должна быть масса каждого сплава, чтобы после совместной переплавки получить 95 г нового сплава, содержащего 7 частей золота и 12 частей серебра?

Решение.

Пусть масса первого сплава х г, тогда в сплаве золота (х/3) г и серебра (2x/3) г.

Пусть масса второго сплава у г, тогда в сплаве золота (2у/5) г и серебра (3y/5) г.

По условию нужно получить 95 г сплава, в которой 7 частей золота и 12 частей серебра.

Тогда должно быть x + y = 95 г или y = 95 – x.

После переплавки должны получить: золота 7•95/19 = 35 г и серебра 12•95/19 = 60 г.

Составим систему уравнений и решаем:

\displaystyle \tt \left \{ {{\dfrac{x}{3}+\dfrac{2y}{5} =35 \;\;\;| \cdot 15} \atop {\dfrac{2x}{3}+\dfrac{3y}{5} =60 \;\;\;| \cdot 15}} \right. \\\\\left \{ {{5x+6y =525 \;\;\;| \cdot 2} \atop {10x+9y=900}} \right. \\\\\left \{ {{10x+12y =1050 } \atop {10x+9y=900}} \right.

\displaystyle \tt \left \{ {{10x+12y =1050 } \atop {10x=900-9y}} \right.\\\\ \left \{ {{900-9y+12y =1050 } \atop {10x=900-9y}} \right. \\\\ \left \{ {{3y =150 } \atop {10x=900-9y}} \right. \\\\\left \{ {{y =50 } \atop {10x=900-9 \cdot 50}} \right. \\\\\left \{ {{y =50 } \atop {10x=450}} \right. \\\\\left \{ {{y =50 } \atop {x=45}} \right.

Значит, масса первого сплава 45 г, а масса второго сплава 50 г.

#SPJ1

Приложения:

BunnyDi: Спасибо большое!
axatar: Желаю успехов...
Вас заинтересует