• Предмет: Алгебра
  • Автор: dio2536
  • Вопрос задан 7 лет назад

помогите пжжжжж сррчно до 14:00​

Приложения:

Ответы

Ответ дал: Alnadya
0

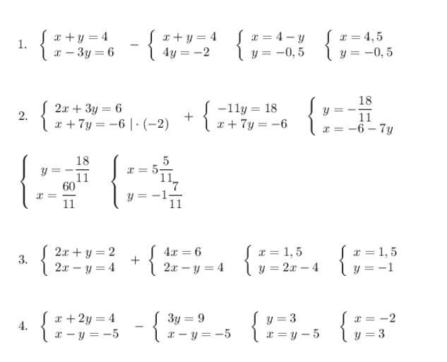
Решение.

Способ сложения решения систем линейных уравнений .

1.\ \ \left\{\begin{array}{l}x+y=4\\x-3y=6\end{array}\right\ -\ \left\{\begin{array}{l}x+y=4\\4y=-2\end{array}\right\ \ \left\{\begin{array}{l}x=4-y\\y=-0,5\end{array}\right\ \ \left\{\begin{array}{l}x=4,5\\y=-0,5\end{array}\right

2.\ \ \left\{\begin{array}{l}2x+3y=6\\x+7y=-6\ |\cdot (-2)\end{array}\right\ +\ \left\{\begin{array}{l}-11y=18\\x+7y=-6\end{array}\right\ \ \left\{\begin{array}{l}y=-\dfrac{18}{11}\\x=-6-7y\end{array}\right\\\\\\\left\{\begin{array}{l}\ y=-\dfrac{18}{11}\\x=\dfrac{60}{11}\end{array}\right\ \ \left\{\begin{array}{l}x=5\dfrac{5}{11}\\y=-1\dfrac{7}{11}\end{array}\right

3.\ \ \left\{\begin{array}{l}2x+y=2\\2x-y=4\end{array}\right\ +\ \left\{\begin{array}{l}4x=6\\2x-y=4\end{array}\right\ \ \left\{\begin{array}{l}x=1,5\\y=2x-4\end{array}\right\ \ \left\{\begin{array}{l}x=1,5\\y=-1\end{array}\right

4.\ \ \left\{\begin{array}{l}x+2y=4\\x-y=-5\end{array}\right\ -\ \left\{\begin{array}{l}3y=9\\x-y=-5\end{array}\right\ \ \left\{\begin{array}{l}y=3\\x=y-5\end{array}\right\ \ \left\{\begin{array}{l}x=-2\\y=3\end{array}\right  

Приложения:

dio2536: а что это?
Alnadya: редактор формул
Alnadya: смотри скрин
Вас заинтересует