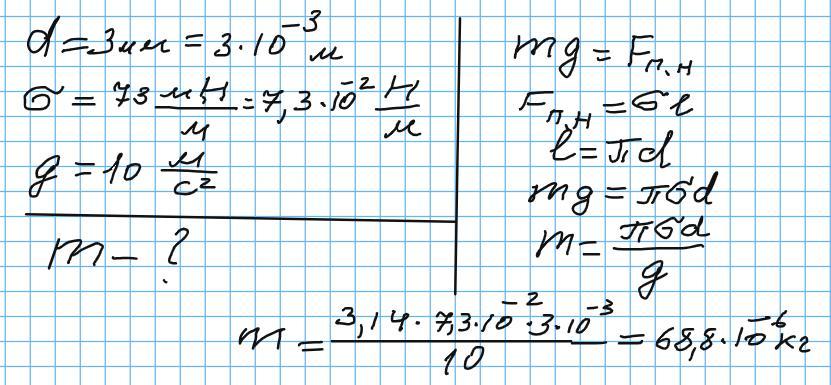
визначте яка маса води піднялася в капілярі діаметром 3мм ? коефіцієнт поверхневого натягу води 73 мн/м
Ответы
Ответ дал:
1
Відповідь: 68,8 мг
Пояснення:
Приложения:

Вас заинтересует
2 года назад
2 года назад
2 года назад
8 лет назад
9 лет назад