• Предмет: Физика
  • Автор: sadredinovabdulaziz
  • Вопрос задан 7 лет назад

Как изменяется кинетическая энергия львицы
массой 145 кг во время охоты, если она снизит
скорость бега с 9 м/с до 6 м/с.
Ответ: кинетическая энергия (вставь:
уменьшилась или увеличилась)
на Дж​

Ответы

Ответ дал: playstationzhuma
2

Ответ:

26*1-8х=7y (дж)

546:7=43y (дж)

Ответ дал: Braineed
1

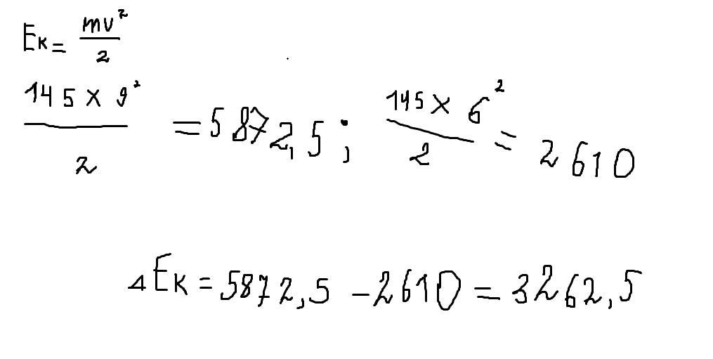
Відповідь:

Кінетична енергія зменшилась на 3 262,5 Дж

Пояснення:

Приложения:

Braineed: Зменшилася тому що спочатку було 5872,5 а потім стала 2610
sadredinovabdulaziz: дякую
Вас заинтересует