Ответы
Ответ дал:
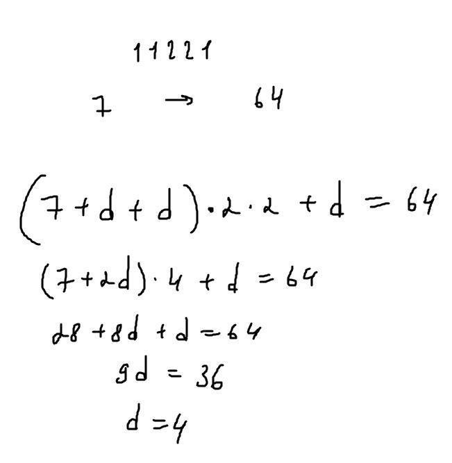
1
первое d=4
второе 3 (пары 22 и 24, 31 и 19, 16 и 30)
Приложения:

Xsan0:
Спасибо
Вас заинтересует
2 года назад
2 года назад
2 года назад
2 года назад
8 лет назад
9 лет назад
9 лет назад