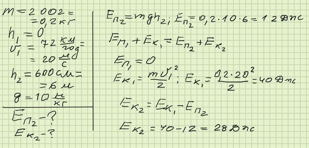
Камінь масою 200г кинули вертикально вгору зі швидкістю 72км/год. Визначте кінетичну і потенціальну енергії каменя на висоті 600см
Ответы
Ответ дал:
1
Відповідь: 28 Дж; 12 Дж
Пояснення:
Приложения:

Вас заинтересует
2 года назад
2 года назад
9 лет назад