• Предмет: Алгебра
  • Автор: Аноним
  • Вопрос задан 7 лет назад

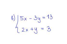
Даю 35 баллов. Решите систему линейных уравнений

Приложения:

Аноним: Метод подстановки

Ответы

Ответ дал: Аноним
1

\displaystyle \left \{ {{5x-3y=14} \atop {2x+y=3}} \right. \\\\\left \{ {{5x-3y=13} \atop {y=3-2x}} \right.\\ \\5x-3(3-2x)=13\\x=2\\y=3-2*2\\y=-1\\(x,y)=(2,-1)


Аноним: ничего себе ты быстрая
Ответ дал: MuhammadGulu
1

Ответ: x=2 ; y=-1

\left \{ {{5x - 3y = 13} \atop {2x + y = 3  \:  \:  \:|  \times 3}} \right.  \\ \left \{ {{5x - 3y = 13} \atop {6x + 3y = 9}} \right.  +  \\ 11x = 22 \\ x = 2

И вместо х поставим 2

2x + y = 3 \\ 2 \times 2 + y = 3 \\ 4 + y = 3 \\ y =  - 1

Вас заинтересует