• Предмет: Математика
  • Автор: liza2256
  • Вопрос задан 7 лет назад

ОЧЕНЬ СРОЧНО ПОЖАЛУЙСТА​

Приложения:

Аноним: "ОЧЕНЬ СРОЧНО ПОЖАЛУЙСТА​". Перекладіть все на раш. Чого тільки прохання.

Ответы

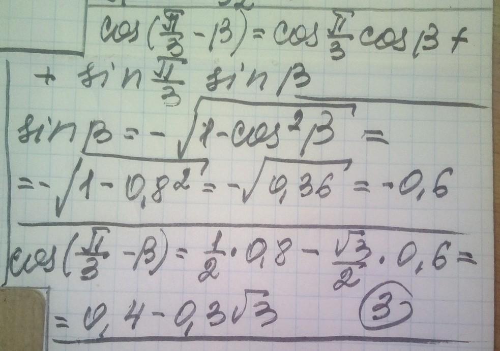
Ответ дал: ivan48367
1

Ответ:

.........................................

Приложения:
Ответ дал: manyny06
0

Ответ:

решение смотри на фотографии

Приложения:
Вас заинтересует