Ответы
Ответ дал:
2
Ответ дал:
1
Ответ:
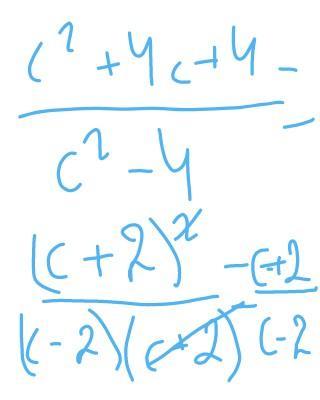
відповідь у закріпленому фото
Приложения:

saysaykkka:
спасибо, но у тебя немного не правильно
Вас заинтересует
2 года назад
2 года назад
2 года назад
8 лет назад
8 лет назад
9 лет назад
9 лет назад