• Предмет: Математика
  • Автор: lololoskaj
  • Вопрос задан 10 лет назад

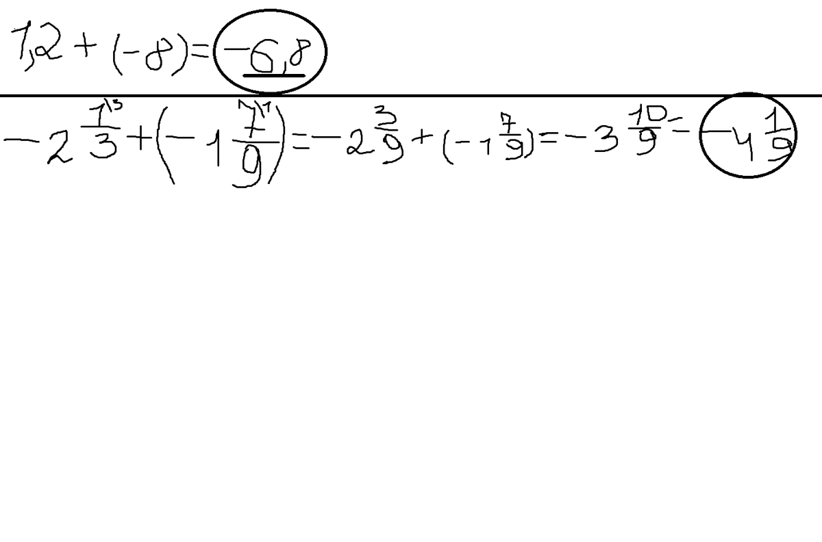
вычислите сумму А) 1,2+(-8); Б) -2  1дробь3+(-1 7дробь9)

Ответы

Ответ дал: Farida2005
0
Вот ответ вот такой. Кликни на картинку. Ответ точно правильный я люблю эту тему и хорошо знаю. Поставь за правильный ответ пожалуйста спасибо. Желаю удачи и получить положительную отметку в школе. 
Приложения:
Вас заинтересует