• Предмет: Алгебра
  • Автор: olexandrvalenkevych
  • Вопрос задан 7 лет назад

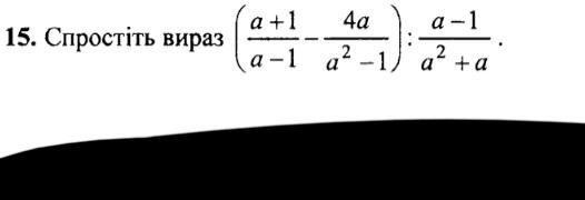
Допоможіть з поясненням дам 100 балів……………………

Приложения:

Ответы

Ответ дал: karinashmoyilova
1

Ответ:решение и овтет на фото

Объяснение:

Приложения:
Вас заинтересует