Ответы
Ответ дал:
1
Ответ:
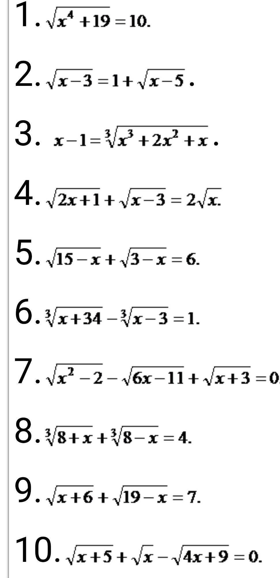
на фото, только первые 5
Приложения:


Вас заинтересует
2 года назад
2 года назад
2 года назад
8 лет назад
8 лет назад
9 лет назад