• Предмет: Алгебра
  • Автор: inkognito063
  • Вопрос задан 7 лет назад

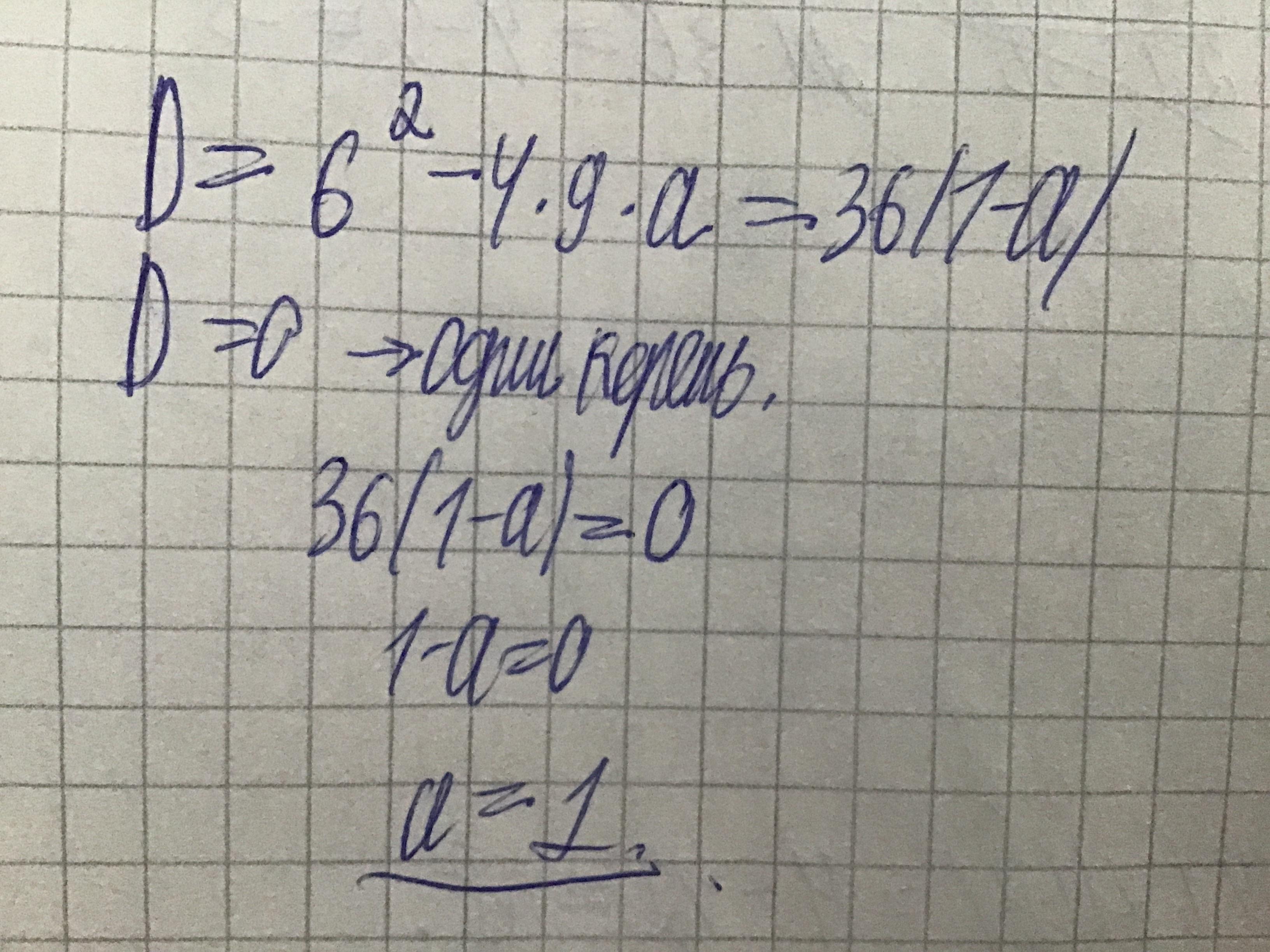
при каком значении параметра а уравнение 9x^2+6x+a=0 имеет один корень?

Приложения:

Ответы

Ответ дал: floferum
0

Ответ:

a=1

Объяснение:

Приложения:
Вас заинтересует