• Предмет: Алгебра
  • Автор: nrnvsgyk7h
  • Вопрос задан 7 лет назад

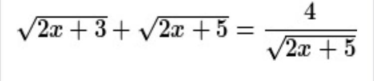
Помогите пожалуйста

Приложения:

Ответы

Ответ дал: ckirro
1
вы не указали, надо ли полностью решение, поэтому пишу только ответ: -7/6
Вас заинтересует