• Предмет: Алгебра
  • Автор: Jennin
  • Вопрос задан 11 лет назад

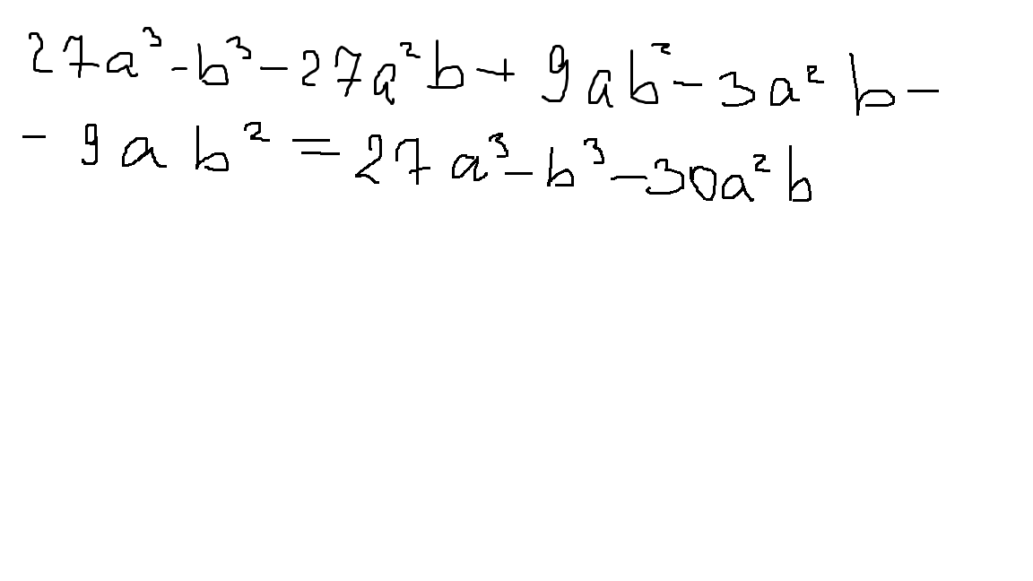
Упростите выражение:
(3a-b)³-3ab(a+3b)

Ответы

Ответ дал: Ekaterina1819
0
Наверное, получится вот так. 
Приложения:
Вас заинтересует