• Предмет: Алгебра
  • Автор: elvira4967
  • Вопрос задан 7 лет назад

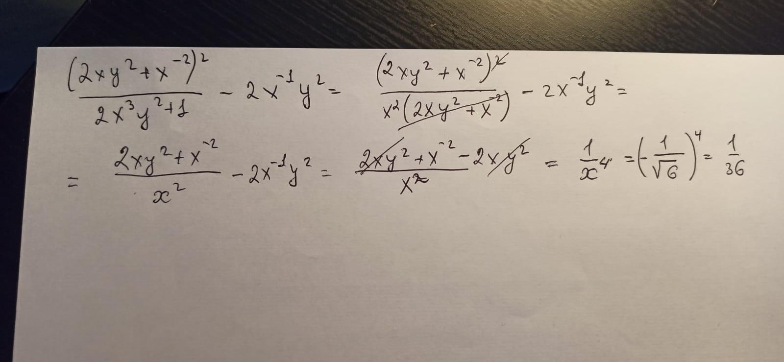
Найдите значение выражения. Даю 35 балов

Приложения:

Ответы

Ответ дал: Lilletta
0

Ответ:

1/36

Объяснение:

у меня все так красиво сократилось, что "у" не осталось. Но может и в этом подвох.

Приложения:
Вас заинтересует