• Предмет: Математика
  • Автор: evashulika0099
  • Вопрос задан 7 лет назад

СРОЧНО, ПОМОГИТЕ, ПОЖАЛУЙСТА,ДАЮ 20 БАЛЛОВ ​

Приложения:

Ответы

Ответ дал: hehelloy1kittyy
0

Ответ:

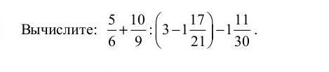
5/5+10/9:(3-1 17/21)-1 11/30

5/6+10/9:(3-38/21)-41/30

5/6+10/9:25/21-41/30

5/6+10/9•21/25-41/30

5/6+2/3•7/5-41/30

5/6+14/15-41/30=

2/5


hehelloy1kittyy: в самой первой строчке не 5/5 а 5/6 сори
evashulika0099: спасибо, а можно подействиям, пожалуйста
hehelloy1kittyy: это ж по действиям, ещё тебе такой совет: прилодение- фото мач, решает. Photomath
evashulika0099: спасибо большое))))
Ответ дал: mankind96
0

Ответ:

5/6+10/9:(25/21)-41/30

5/6+10/9*21/25-41/30

5/6+2/3*7/5-41/30

5/6+14/15-41/30=2/5

Пошаговое объяснение:


evashulika0099: а можно подействиям, пожалуйста
mankind96: Сначала вычитаем числа в скобках друг из друга, затем делим 10/9
Вас заинтересует